DELI adalah produsen Sulfobutil beta siklodekstrin 182410-00-0. Nomor DMF produk kami adalah 034773. Sistem manajemen perusahaan telah lulus sertifikasi ISO 9001:2015.

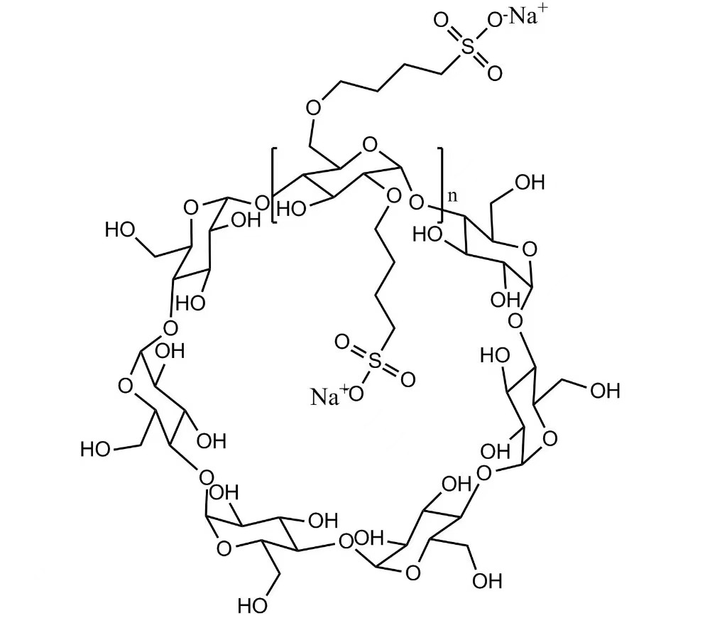
Sulfobutil beta siklodekstrin 182410-00-0 adalah turunan siklodekstrin anionik dengan kemurnian tinggi dengan kelarutan dalam air yang sangat baik. Sebagai beta-siklodekstrin yang dimodifikasi secara kimia, Sulfobutil beta siklodekstrin 182410-00-0 banyak digunakan sebagai eksipien farmasi untuk meningkatkan kinerja formulasi bahan aktif farmasi yang sukar larut.
Sulfobutil beta siklodekstrin 182410-00-0 membentuk kompleks inklusi non-kovalen yang stabil dengan molekul obat, terutama senyawa yang mengandung nitrogen. Melalui enkapsulasi molekuler, Sulfobutyl beta cyclodextrin 182410-00-0 secara signifikan meningkatkan kelarutan obat, stabilitas, dan bioavailabilitas sekaligus meningkatkan keamanan formulasi.
Dalam aplikasi farmasi, Sulfobutyl beta cyclodextrin 182410-00-0 membantu mengurangi toksisitas ginjal, meminimalkan hemolisis, mengontrol laju pelepasan obat, dan menutupi bau tidak sedap. Keunggulan ini membuat Sulfobutyl beta cyclodextrin 182410-00-0 sangat cocok untuk bentuk sediaan yang sensitif.
Sulfobutyl beta cyclodextrin 182410-00-0 berfungsi efektif sebagai solubilizer, wetting agent, chelating agent (zat pengompleks), dan masking agent polivalen. Karena profil biokompatibilitas dan keamanannya yang sangat baik, Sulfobutyl beta cyclodextrin 182410-00-0 digunakan secara luas dalam formulasi farmasi injeksi, oral, hidung, dan mata.
Sebagai produk modifikasi penting yang berasal dari beta-siklodekstrin, Sulfobutil beta siklodekstrin 182410-00-0 dikembangkan dan diproduksi secara independen oleh perusahaan kami. Sulfobutil beta siklodekstrin 182410-00-0 terutama digunakan sebagai eksipien farmasi dalam formulasi obat yang mengandung nitrogen dan sediaan injeksi tingkat lanjut.

Xi'an Deli Biochemical Industry Co., Ltd. adalah produsen profesional yang mengkhususkan diri dalam penelitian, pengembangan, dan produksi turunan siklodekstrin dan siklodekstrin. Didirikan pada tahun 1999, Xi'an Deli Biochemical Industry Co., Ltd. memiliki lebih dari 20 tahun pengalaman manufaktur di bidang eksipien farmasi dan melayani pasar farmasi, kedokteran hewan, dan bahan kimia global.
Xi'an Deli Biochemical Industry Co., Ltd. berfokus pada produk siklodekstrin tingkat farmasi, termasuk Sulfobutyl beta cyclodextrin 182410-00-0 dan Hydroxypropyl Betadex. Semua produk diproduksi di bawah sistem manajemen kualitas yang ketat dan mematuhi persyaratan farmakope internasional seperti USP dan EP.
Untuk Sulfobutyl beta cyclodextrin 182410-00-0, Xi'an Deli Biochemical Industry Co., Ltd. mengoperasikan jalur produksi skala komersial yang stabil. Kapasitas produksi batch tunggal mencapai hingga 2,5 metrik ton, dengan kapasitas produksi tahunan melebihi 200 metrik ton. Hal ini memastikan pasokan yang andal untuk pengembangan klinis dan manufaktur farmasi komersial.
Xi'an Deli Biochemical Industry Co., Ltd. memberikan dukungan teknis dan peraturan penuh, termasuk COA, MSDS, data stabilitas, dan bantuan formulasi. Sampel gratis tersedia untuk evaluasi, dan layanan pengiriman global mendukung pelanggan internasional.

Nomor CAS: 182410-00-0
Standar: EP / USP
Rumus Molekul: C42H70-nO35·(C4H8SO3Na)n
Spesifikasi: 500g/tas; 1kg/tas; 10 kg/tas atau drum
Kategori: Eksipien farmasi
Penyimpanan: Disegel, pengawetan kering
Umur Simpan: 36 bulan
Sulfobutil Eter Beta Siklodekstrin Bubuk Eksipien Farmasi Kelas Suntik
Betadex Sulfobutil Eter Natrium CAS NO 182410-00-0
Sulfobutil Eter Beta Siklodekstrin Natrium
Kelas Injeksi Natrium Betadex Sulfobutil Eter
Betadex Sulfobutyl Ether Sodium SBECD Kelas Suntik untuk Formulasi Obat
Betadex Sulfobutil Eter Natrium CAS 182410-00-0