berita industri

Solusi Berbasis Siklodekstrin untuk Peningkatan Kelarutan dan Stabilitas

2025-12-23 - Tinggalkan aku pesan

Solusi Berbasis Siklodekstrin untuk Peningkatan Kelarutan dan Stabilitas

Tinjauan Teknis Hidroksipropil Betadex dan Betadex Sulfobutyl Ether Sodium

Siklodekstrin dikenal luas karena kemampuannya meningkatkan kelarutan dan stabilitas senyawa yang sukar larut atau sensitif secara kimia. Karena struktur molekul sikliknya yang unik, siklodekstrin dan turunannya telah menjadi eksipien fungsional yang penting di bidang farmasi, kimia, dan bidang formulasi terkait. Menanggapi meningkatnya persyaratan teknis dan peraturan, Xi’an Deli Biochemical telah menyempurnakan dokumentasi teknis dan dukungan produk untuk turunan siklodekstrin utamanya:hidroksipropil betadex (HPBCD) dan betadex sulfobutyl ether sodium (SBECD).


Karakteristik Struktural dan Kinerja Fungsional Siklodekstrin

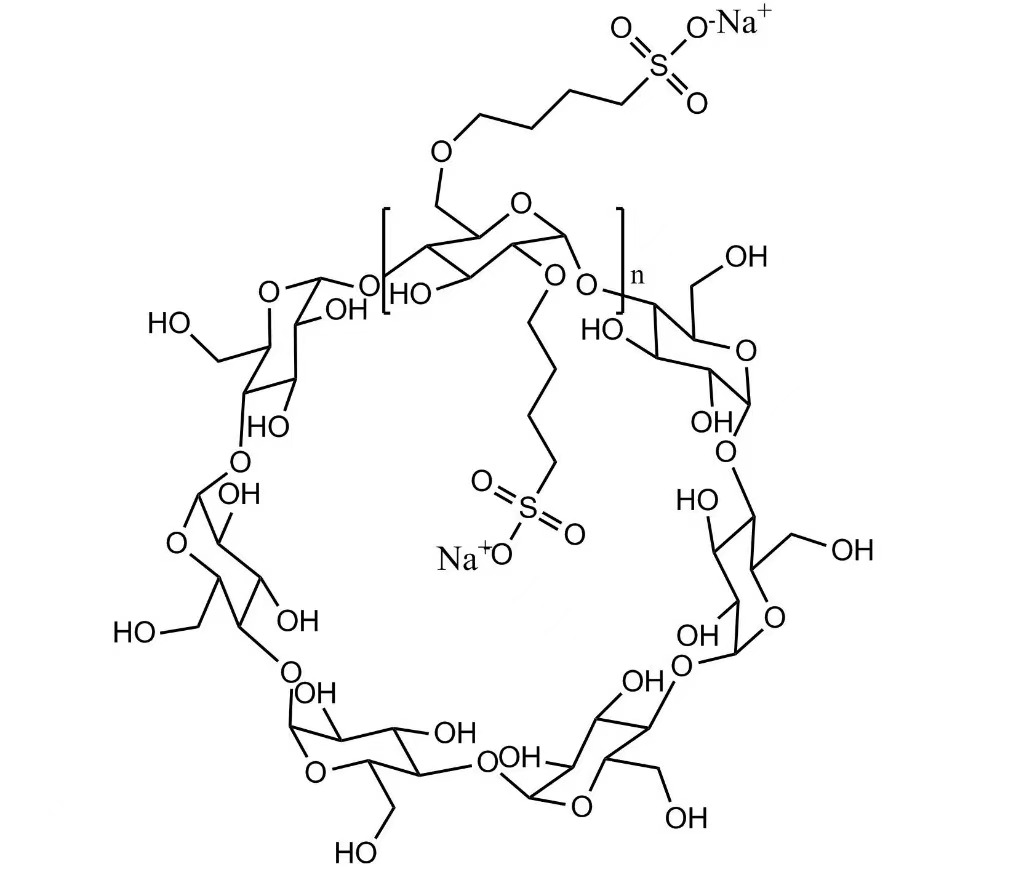
Siklodekstrin adalah oligosakarida siklik yang terdiri dari unit glukosa yang dihubungkan oleh ikatan glikosidik α-1,4. Arsitektur molekulernya memiliki permukaan luar yang hidrofilik dan rongga internal yang relatif hidrofobik, memungkinkan pembentukan kompleks inklusi dengan berbagai molekul tamu. Modifikasi kimiawi pada struktur siklodekstrin dapat secara signifikan meningkatkan kelarutan dalam air dan memperluas fleksibilitas aplikasi.


Hidroksipropil Betadex (HPBCD)


Hidroksipropil betadex adalah β-siklodekstrin yang dimodifikasi secara kimia yang dirancang untuk mengatasi terbatasnya kelarutan siklodekstrin asli. Kelarutan dalam air yang ditingkatkan dan kompatibilitas yang baik menjadikan HPBCD cocok untuk aplikasi yang memerlukan kelarutan, stabilisasi, dan fleksibilitas formulasi yang efektif di berbagai sistem.


Betadex Sulfobutil Eter Natrium (SBECD)


Betadex sulfobutyl ether sodium adalah turunan siklodekstrin anionik yang dicirikan oleh substituen sulfobutil eter. Struktur ini meningkatkan interaksi elektrostatis dengan senyawa spesifik, mendukung peningkatan kelarutan, stabilitas kompleks, dan ketahanan formulasi dalam aplikasi yang lebih menuntut.

Informasi Produk Standar dan Dukungan Teknis

Untuk mendukung pengembangan formulasi, evaluasi kualitas, dan proses pengadaan dengan lebih baik, Xi’an Deli Biochemical telah memperbarui informasi produk secara sistematis untuk HPBCD dan SBECD, termasuk:


  • Spesifikasi produk dan parameter analitik yang didefinisikan dengan jelas dan terstandarisasi
  • Sertifikat Analisis (COA) khusus batch untuk memastikan ketertelusuran dan verifikasi kualitas
  • FAQ teknis yang diperluas membahas penanganan, penyimpanan, dan pertimbangan aplikasi umum
  • Ringkasan produk yang dioptimalkan dirancang untuk memfasilitasi tinjauan dan pemilihan teknis yang efisien


Peningkatan ini dimaksudkan untuk meningkatkan transparansi, mengurangi jadwal evaluasi, dan mendukung kinerja produk yang konsisten di seluruh siklus pasokan.


Pengalaman Manufaktur dan Jaminan Kualitas

Didirikan pada tahun 1999, Xi'an Deli Biochemical memiliki pengalaman selama 26 tahun dalam pembuatan turunan siklodekstrin. Perusahaan ini berfokus pada produksi terkontrol hidroksipropil betadex dan betadex sulfobutil eter natrium, dengan menekankan konsistensi proses, keandalan batch-ke-batch, dan stabilitas pasokan jangka panjang. Praktik manajemen mutu terstruktur mendukung persyaratan teknis, peraturan, dan sumber daya pelanggan.


Ruang Lingkup Aplikasi dan Kolaborasi Teknis

Berdasarkan mekanisme inklusi dan stabilisasi siklodekstrin, HPBCD dan SBECD dapat diterapkan di berbagai bidang teknis, termasuk formulasi terkait farmasi, bahan kimia khusus, produk kedokteran hewan, dan sistem lain yang memerlukan peningkatan kelarutan dan stabilitas. Xi’an Deli Biochemical terus menjalin hubungan dengan para mitra melalui komunikasi yang berfokus pada aplikasi dan kolaborasi teknis untuk mendukung kebutuhan formulasi yang terus berkembang.


Tentang Perusahaan Industri Biokimia Xi'an Deli

Didirikan pada tahun 1999, Xi’an Deli Biochemical Industry Companies adalah produsen khusus turunan siklodekstrin, yang memasok hidroksipropil betadex (HPBCD) dan betadex sulfobutyl ether sodium (SBECD) kepada pelanggan global. Dengan fokus jangka panjang pada konsistensi produk, spesifikasi yang jelas, dan dukungan teknis praktis, perusahaan tetap berkomitmen untuk menyediakan solusi berbasis siklodekstrin yang andal.


Jika Anda mau, saya juga bisa:


  • Optimalkan lebih lanjut ini untuk SEO Google (tanpa mengurangi nada teknis)
  • Padatkan menjadi versi "Pembaruan Teknis" halaman produk
  • Sesuaikan untuk pelanggan yang berfokus pada regulasi/kualitas


Katakan saja di mana Anda berencana menerbitkannya.


mengirimkan permintaan


icon
X
Kami menggunakan cookie untuk menawarkan Anda pengalaman penelusuran yang lebih baik, menganalisis lalu lintas situs, dan mempersonalisasi konten. Dengan menggunakan situs ini, Anda menyetujui penggunaan cookie kami. Kebijakan Privasi
Menolak Menerima