Betadex Sulfobutyl Ether Sodium Injectable Eksipien Farmasi EP USP Grade

Betadex Sulfobutyl Ether Sodium Injectable Eksipien Farmasi EP USP Grade

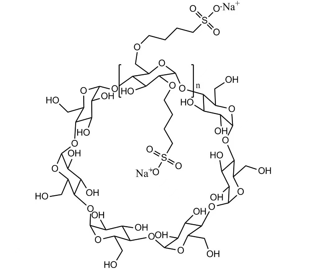
Betadex Sulfobutyl Ether Sodium Injectable Pharmaceutical Excipient EP USP Grade (CAS 182410-00-0) adalah turunan siklodekstrin yang sangat larut dalam air yang digunakan sebagai pelarut dan penstabil dalam formulasi obat suntik, meningkatkan kelarutan, keamanan, dan ketersediaan hayati.

mengirimkan permintaan

Deskripsi Produk

Xi'an Deli Biokimia Industry Co., Ltd.adalah perusahaan teknologi tinggi yang mengkhususkan diri dalam penelitian, pengembangan, produksi, dan penjualan turunan siklodekstrin. Didirikan pada tahun 1999, perusahaan ini memiliki pengalaman lebih dari 25 tahun di bidang eksipien farmasi, termasukHidroksipropil Betadex (HPBCD)DanBetadex Sulfobutil Eter Natrium (SBECD). Perusahaan ini mengoperasikan area bersih khusus dan jalur produksi lanjutan, memastikan produk berkualitas tinggi, stabil, dan konsisten untuk aplikasi farmasi global.

Deskripsi Produk

Betadex Sulfobutyl Ether Sodium Injectable Eksipien Farmasi EP USP Grade(CAS 182410-00-0) adalah turunan siklodekstrin anionik yang sangat larut dalam air. SBECD berfungsi sebagai solubilizer, wetting agent, chelating agent, dan masking agent, meningkatkan kelarutan obat, stabilitas, dan keamanan dalam formulasi injeksi, oral, hidung, dan oftalmik. SBECD banyak digunakan dalam API antijamur, antivirus, kardiovaskular, dan onkologi.

Spesifikasi Produk

Nomor CAS: 182410-00-0
Rumus Molekul: C42H70-nO35·(C4H8SO3Na)n
Kelas: Dapat disuntikkan, sesuai EP dan USP
Penampilan: Serbuk amorf berwarna putih hingga putih pucat
Pengujian: ≥99,0%
Aplikasi: Formulasi farmasi suntik dan parenteral
Kemasan: 500g/tas; 1kg/tas; 10kg/tas; 10kg/drum; kemasan khusus tersedia
Penyimpanan: Tersegel dan kering
Umur Simpan: 36 bulan
COA / Jaminan Mutu: 

Setiap batch SBECD diuji kemurnian pengujiannya, endotoksin bakteri, sisa pelarut, logam berat, dan derajat substitusi rata-rata (DS), sesuai dengan standar farmakope USP dan EP.

Aplikasi Produk

Betadex Sulfobutyl Ether Sodium digunakan untuk meningkatkan kelarutan, mengurangi toksisitas ginjal, meminimalkan hemolisis, dan meningkatkan kepatuhan pasien. SBECD cocok untuk sistem pemberian intravena, intramuskular, hidung, oral, dan oftalmik. Ini membentuk kompleks inklusi dengan API yang bersifat basa lemah dan mengandung nitrogen, sehingga menghasilkan pelepasan yang berkelanjutan dan peningkatan stabilitas.

Hidroksipropil Betadex (HPBCD) – Eksipien farmasi suntik dan oral
Betadex Sulfobutil Eter Natrium (SBECD) – Turunan siklodekstrin tingkat injeksi

Pertanyaan Umum

T: Apakah Xi'an Deli Biochemical adalah produsen SBECD?
A: Ya, Xi'an Deli Biochemical memproduksi Betadex Sulfobutyl Ether Sodium (SBECD) dan HPBCD. Beta Cyclodextrin digunakan sebagai bahan baku produksi turunannya.

T: Apakah sampel tersedia?
J: Ya, sampel SBECD tersedia untuk evaluasi.

T: Berapa kapasitas produksi batch dan tahunannya?
A: Kapasitas produksi batch SBECD adalah 2,5 ton, dan hasil tahunan melebihi 200 ton.

T: Dokumen peraturan apa saja yang disediakan?
J: COA, MSDS, data stabilitas, dan dokumen teknis tersedia untuk semua batch.

Q: Pilihan pengiriman?
A: Pengiriman global melalui udara, laut, atau kurir ekspres.

Tag Panas: Betadex Sulfobutyl Ether Sodium Injectable Pharmaceutical Excipient EP USP Grade, Produsen, Pemasok, China, Pabrik, massal, Sampel Gratis, Buatan China, Tersedia, Grosir, Beli

Kategori Terkait

mengirimkan permintaan

Jangan ragu untuk memberikan pertanyaan Anda dalam formulir di bawah ini. Kami akan membalas Anda dalam 24 jam.
icon
X
Kami menggunakan cookie untuk menawarkan Anda pengalaman penelusuran yang lebih baik, menganalisis lalu lintas situs, dan mempersonalisasi konten. Dengan menggunakan situs ini, Anda menyetujui penggunaan cookie kami. Kebijakan Privasi
Menolak Menerima