Betadex sulfobutyl eter natrium berkualitas tinggi (SBE-β-CD)-Ekimasi siklodekstrin kelas farmasi-CAS 182410-00-0. Meningkatkan kelarutan, stabilitas & ketersediaan hayati.
	 
 
	
Betadex Sulfobutyl Ether Sodium (SBE-β-CD)-Farmasi Grade Cyclodextrin Exicient-CAS 182410-00-0
	
Penampilan: bubuk putih, manis, hambar dan tidak berbahaya
	
Kehidupan Simpan: 36 bulan
	
Kelas: Tingkat Suntikan
	
Aplikasi: Farmasi Feild
	
Standar: USP, EP
	
Kelarutan: ≥100 (25 ℃, g/100ml)
	
Logam Berat: ≤0.0025%
	
Mengurangi gula: ≤0,05%
	
	
Eksiplin farmasi sulfobutylether-β-cyclodextrin tidak hanya dapat meningkatkan kelarutan obat, meningkatkan stabilitas dan keamanan obat, tetapi dapat mengurangi stimulasi ke tempat injeksi pemberian, obat dengan cepat mencapai konsentrasi darah yang diperlukan, memperpanjang waktu aksi obat.
	
Obat intranasal yang memiliki penyerapan yang cepat, akting cepat, ketersediaan hayati yang tinggi, pemberian yang nyaman, mudah diterima oleh pasien, dan dapat menghindari efek lulus pertama dan keuntungan lainnya, telah menjadi salah satu hotspot dalam penelitian farmasi. Namun, karena penetrasi obat hidung yang rendah, banyak enzim di rongga hidung dapat menyebabkan degradasi dan adhesi hidung.
	
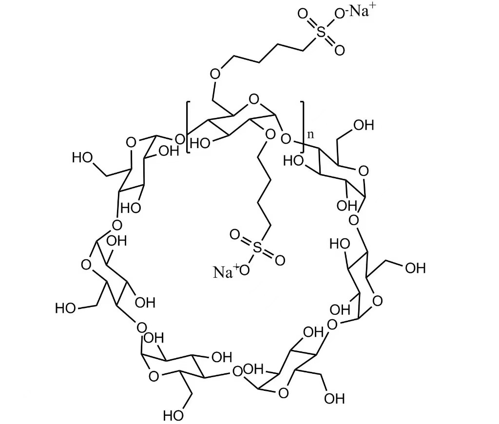
Eksipien farmasi sulfobutylether-β-cyclodextrin adalah garam natrium yang diproduksi ketika betadex dialkilasi oleh 1,4-butanesulfonat asam lakton asam dalam kondisi alkali. Ini adalah turunan anion, sangat larut dalam air. Eksiplin farmasi sulfobutylether-β-cyclodextrin dapat dikombinasikan dengan molekul obat untuk membentuk non-kovalen sehingga meningkatkan stabilitas, kelarutan air, dan keamanan obat, mengurangi toksisitas ginjal, memudahkan hemolisis obat, mengendalikan laju pelepasan obat, menutupi bau yang buruk, dll.
	
	
	 
 
	
Xi'an Deli Biochemical Industry Co., Ltd. adalah perusahaan berteknologi tinggi yang berspesialisasi dalam penelitian & pengembangan, produksi & penjualan siklodekstrin dan turunannya.
Sejak didirikan pada tanggal 27 Agustus 1999, perusahaan telah mematuhi kebijakan kualitas "berfokus pada aksesori, kualitas pertama, layanan tulus, berjuang untuk kelas satu". Setelah lebih dari 20 tahun kerja keras dan pengembangan, perusahaan saat ini memiliki produk deli merek hydroxypropyl betadex, merek deli Betadex sulfobutyl eter natrium. Produk di atas telah didaftarkan dan diajukan ke FDA.
	
	